流体效应对一级相变中过滤暗物质遗迹丰度和引力波的影响
探究暗物质的微观性质和产生机制是粒子物理和宇宙学的重要探索目标。区别于传统的 freeze-out等WIMP暗物质产生机制,暗物质可能在早期宇宙的一级相变中通过相变泡泡的“过滤”产生。这种新机制能很容易的逃过传统机制的幺正性限制,产生大质量的暗物质。泡泡在膨胀过程中过滤掉低能量的重暗物质粒子,从而有效压低暗物质的遗迹丰度。然而在泡泡膨胀过程中,泡泡壁与周围流体的相互作用会影响粒子在泡泡壁附近的温度和速度分布,这会为过滤暗物质的准确计算带来不可忽略的重要影响。对过滤暗物质的准确计算可以帮助我们准确地重构模型的相变参数,从而为天琴等空间引力波实验探测相变引力波信号提供准确的理论预言。
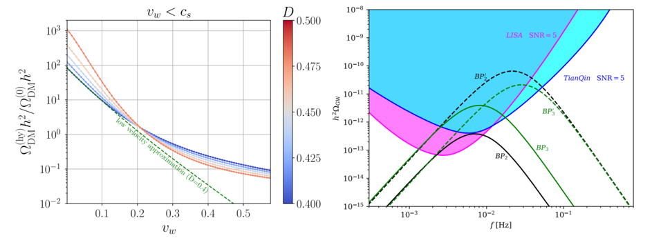
中心黄发朋副教授团队在最一般化的相变模型中,首次考虑泡泡壁运动的流体效应在过滤暗物质机制中的作用。分别用解析方法和数值求解玻尔兹曼方程的方法详细分析计算了流体效应对过滤暗物质的遗迹丰度所产生的影响,对泡泡壁速度为低速的爆燃模式和高速的爆轰模式分开讨论。结果发现在泡泡壁速度为0.01的爆燃模式下暗物质的遗迹丰度提高2-3个数量级;而在泡泡壁速度为0.9 的爆轰模式下暗物质遗迹丰度被压低1-2个数量级。同时,我们分别给出了在考虑和不考虑流体效应情况下,过滤暗物质机制所给出的相变引力波信号。该研究为过滤暗物质机制中相变引力波的可靠预言提供了重要参考。
上述成果发表于《Physical Review D》(Siyu Jiang, Fa Peng Huang, Chong Sheng Li, “Hydrodynamic effects on the filtered dark matter produced by a first-order phase transition”),天琴中心黄发朋副教授为通讯作者,博士生姜思宇为第一作者,北京大学李重生教授为第三作者。该研究得到了国家自然科学基金的支持。

