天琴检验质量的电荷管理系统研究进展
发布人:huangyy
发布日期:2023-02-21
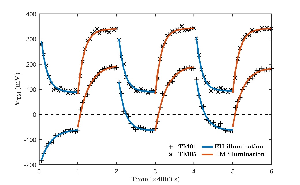
引力波探测任务中,检验质量因在轨运行期间持续积累电荷而引入的静电力噪声将直接限制探测精度,需利用电荷管理系统对检验质量的电荷量进行精确、无接触式的测量与控制。天琴计划的“3 + 3”探测模式对探测精度和信号连续性提出了更高的要求,因此设计并测试适用于该模式的连续放电方案成为相关研究的重点。
近期,中山大学天琴中心光机集成研究室团队在电荷管理研究方向取得进展。团队设计了基于紫外放电技术的电荷管理系统,并在地面模拟测试中成功将检验质量样品的电荷量控制在天琴任务目标范围。该工作深入研究了紫外放电过程,根据研究结果设计、优化的方案能够有效降低放电失效的潜在风险,提高连续放电方案的可行性。
研究成果发表于Classical and Quantum Gravity期刊 “Pi X, Liu Q, Xu J, et al. Continuous charge management scheme for TianQin[J]. Classical and Quantum Gravity, 2023, 40(3)”,通讯作者为刘祺副教授,第一作者为皮轩豪博士。该研究得到了国家重点研发计划(2022YFC2204100)和国家自然科学基金(12075325, 12005308, 11605065)的资助。
原文链接:https://iopscience.iop.org/article/10.1088/1361-6382/acafce

