天琴轨道选取中的地月系引力场的影响分析
发布人:huangyy
发布日期:2022-11-03
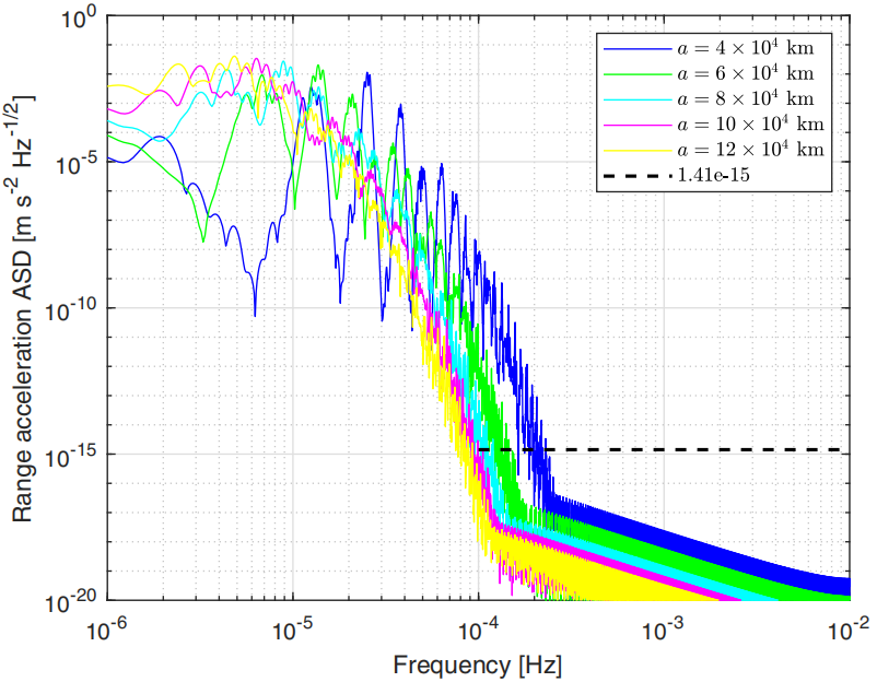
对于以天琴为代表的地心轨道引力波探测方案,地月系牛顿引力摄动环境引起的“轨道噪声”是进行探测器轨道与星座设计时需要考虑的重要因素,该噪声的滚降频率决定了探测频段的下限。
针对这一问题,中心总体研究室博士生罗成健与张雪峰副教授基于前期工作[Zhang et al. Phys. Rev. D 103, 062001 (2021)],利用精细化引力场模型和高精度轨道模拟程序,系统分析了地月系引力场的星间相对加速度噪声贡献随不同轨道面方位和轨道半径选取的变化规律。结果表明,在地心黄道坐标系下,增大轨道半径(图1)和减小轨道倾角有助于将轨道噪声移向低频,而改变升交点经度对轨道噪声无显著影响。此外,文章还给出了地球静止轨道对应的噪声频谱。为确保探测频段下限可达到0.1mHz并综合其他因素,文章对天琴标称轨道参数设计的建议是倾角90°,半径不小于105km。该项研究亦可为其他地心轨道引力波探测器的任务设计提供重要参考。
以上成果发表在Physical Review D(C. Luo and X. Zhang, 2022, Effect of Earth-Moon’s gravity on TianQin’s range acceleration noise. II. Impact of orbit selection)。中心博士生罗成健为第一作者,张雪峰副教授为通讯作者。该研究得到了科技部重点研发引力波专项和国家自然科学基金项目的资助。

