声壳模型中声速对于相变引力波的影响
早期宇宙希格斯诱导的电弱自发对称性破缺动力学过程、宇宙正反物质不对称性和暗物质的产生等过程有可能伴随着相变引力波的产生。相变引力波可以提供探索这些重要基础问题的新途径,也是天琴、LISA等空间引力波实验的潜在波源。相变引力波是近年来国际粒子宇宙学的前沿热点方向。
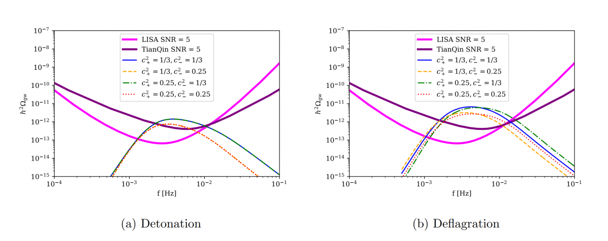
中心黄发朋副教授团队与合作者基于声壳模型研究了相变过程中,对称相和破缺相中声速的变化对于相变引力波能谱的影响。研究发现,在爆轰模式下(图 1. a),仅仅只有对称相中的声速会对相变引力波的能谱强度造成显著的影响,即随着声速的降低,能谱强度也逐渐降低;而在爆燃模式下(图1.b),两相的声速均会对相变引力波的能谱造成影响,且破缺相中声速的影响更为显著。此外,声速还会对相变引力波能谱的峰值频率产生影响。因此,为了得到更为精确的相变引力波能谱理论预言,并借由天琴、LISA等空间引力波实验来研究宇宙演化历史和超出标准模型的新物理,我们需要将两相的声速纳入到已有的计算流程中,以得到更可靠的引力波信号。
以上成果发表在Physical Review D (Xiao Wang, Fa Peng Huang*, Yongping Li, “Sound velocity effects on the phase transition gravitational wave spectrum in the sound shell model”),中心黄发朋副教授为通讯作者,王潇博士后为第一作者,中科院高能所李永平博士为第三作者。本工作得到了广东省基础与应用基础研究基金等的支持。

